Wednesday, July 19, 2023

Class 08 Rational numbers Addition and subtraction of rational numbers.

 

RATIONAL NUMBERS



 

Activity-2 :

Subtopic: Addition and subtraction of rational numbers.

DATE:

AIM / Objective:

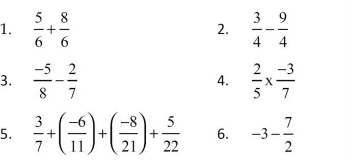
To find the value of Rational numbers

 

MATERIALS REQUIRED:

Pencil, scale, eraser

 

PREREQUISITE KNOWLEDGE:

Concept of LCM & rational numbers

 

PROCEDURE/ DESCRIPTION:

Description:

Write fractions in mixed form and find out the hidden word.

LEARNING ASSESSMENT:






 

SOLUTION

No comments:

Post a Comment

Class 8 Maths (Ganita Prakash) - Chapter 6 We DISTRIBUTE YET THINGS MULTIPLY Figure it out Q & Answers

  Chapter 6 We DISTRIBUTE YET THINGS MULTIPLY Figure it out Q & Answers Figure it Out 142   1. Observe the multiplication grid below. E...